- You are here:
- AM.CO.ZABuythisCNC Utilities Homepage
- LabelMark-Laser-Marking-Machine
- LabelMark Marking Software Manual, v2.6.pdf
- Page 118 of 154

EzCad2UNI User’s Manual
Line width: Set the width of the line
Start point: Set start point of the line
End point: Set end point of the line
Start value: Set start value of line
Inc. value: Set Inc. value of the line
Dot bit count:Set dot bit count of the line, for example:set the dot bit count as 2,the value may
become
0 not show tail zero:0 did not show behind 0
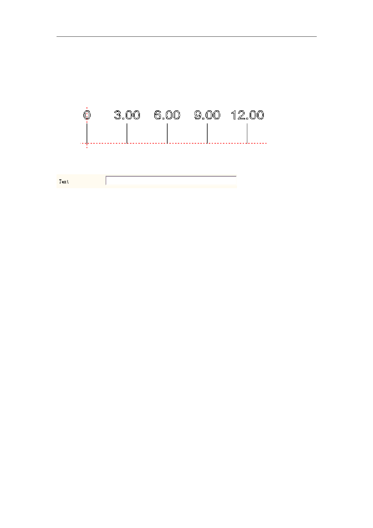
Text: show the text information on the ruler. We can see the figure when we select “Text”
, We can compilation the
text content in the white frame
Vector File: Show the information of the vector file on the ruler
Scale X: width of the vector file
Scale Y: height of the vector file
Angle: the angles between vectorfile and X axis
For example: make a Straight ruler long thirty centimeters(three hundred millimeters):
After set well the External Axis, select Straight ruler, click “Add” then the dialog box popup
shown as Figure 8-24 to set the Line
Set the longest degree ten: There are thirty one degree ten lines from zero to three hundred,
from the start graduation of the workpiece , the space is ten millimeters , the length is seven
millimeters,so as to the “Graduation Num” is thirty one,“Start Graduation” is 0,“Increment pos”
is ten,“Start point” is(zero,zero),“End point” is(zero,seven);
Set the degree five : There are thirty degree five lines from zero to three hundred,from five
millimeters of the start graduation,the space is ten millimeters,the length is five millimeters,so
as to the “Graduation Num” is thirty,“Start Graduation” is five,“Increment pos” is ten,“Start
point” is(zero,zero),“End point” is(zero,five);
Set the degree one : There are two hundred and forty degree one lines from zero to three
hundred,in order to avoid with degree ten and degree five superposition,degree one lines need to
set four times:from one millimeter,two millimeters,three millimeters,four millimeters in turn,
the space is five millimeters,the length is three millimeters, so as to the “Graduation Num” is
sixty,“Start Graduation” is one, two, three, four in turn,“Increment pos” is five,“Start point” is
(zero,zero),“End point” is(zero,three);
Set the Value: select “Value”,only input the value of degree ten lines,so as to the
“Graduation Num” is thirty one,“Start Graduation” is zero,“Increment pos” is ten, “Start value”
is zero,“Inc. value” is ten,“Start point” is(zero,zero),“End point” is(zero,eight);
Set the unit of the ruler: select “Text”,“Graduation Num” is one,input “Start Graduation”
and “Start point” according to actual situation,and inputs the text content which can show.
At last, the figure 8-23 turns to:
112
All rights reserved








